Τι είναι οξείδωση και τι προκαλεί στο κρασί μας;
Ποιο είναι το χειρότερο ελάττωμα του κρασιού; Φυσικά, η οξείδωση, είναι ο χειρότερος εφιάλτης του κρασιού μας. Μα δεν είναι το οξυγόνο καλό για το κρασί, αναρωτιέστε; Όταν το οξυγόνο μπαίνει στο ποτήρι δεν αναδεικνύει όλα τα βαθύτερα αρώματα του; Πώς μπορεί να γίνει κάτι που έχουμε μάθει ότι είναι τόσο καλό για το κρασί, το μεγαλύτερο ελάττωμα του; Παρακάτω θα μάθουμε τι είναι η οξείδωση και πότε το οξυγόνο μπορεί να θεωρηθεί υπερβολική δόση!
Είναι αλήθεια – το κρασί χρειάζεται οξυγόνο. Η φράση “αφήστε το κρασί να αναπνεύσει” δεν είναι λάθος. Εισάγοντας οξυγόνο σε ένα μπουκάλι κρασί ή ένα ποτήρι κρασί (εξ ου και γιατί το στροβιλίζουμε) είναι απολύτως ευεργετικό.
Διαβάστε περισσότερα εδώ:Πώς και γιατί στριφογυρίζουμε ένα ποτήρι κρασί
Τη στιγμή που το κρασί συναντά το οξυγόνο, αρχίζει να “ανοίγει”, όπως λένε πολλοί. Το οξυγόνο επιτρέπει στα αρώματα του κρασιού να γίνουν πιο αισθητά, καθιστώντας ευκολότερο να εντοπίσετε τι ακριβώς μυρίζετε. Η εισαγωγή του οξυγόνου μαλακώνει επίσης την αίσθηση του κρασιού στο στόμα. Αυτό οφείλεται στην διάσπαση των τανινών, την αιτία αυτής της σκληρής, ξηρής αίσθησης που μπορεί να αισθάνεστε στα μάγουλα, στα ούλα και τη γλώσσα σας. Αυτή η πρακτική είναι εξαιρετικά ευεργετική για τα νεαρά κόκκινα κρασιά, των οποίων η οξύτητα και οι τανίνες μπορούν να φαίνονται αρχικά δυσάρεστες.
Ωστόσο, το οξυγόνο μπορεί να οδηγήσει σε οξείδωση, την υποβάθμιση του οίνου λόγω της αφθονίας του. Αυτό μπορεί να συμβεί κατά τη διάρκεια της διαδικασίας οινοποίησης ή ακόμα και μετά την εμφιάλωση του κρασιού. Βασικά, όλες το οξυγόνο είναι ένας απλός καταλύτης για να συμβεί η αντίδραση. Οι ανθοκυανίνες και οι φαινόλες, δύο συστατικά του κρασιού, είναι πολύ ευαίσθητα στην οξείδωση. Όταν πραγματοποιηθεί η οξείδωση, ο χρωματισμός του κρασιού θα αλλάξει και θα υπάρξουν απώλειες αρωμάτων και γεύσεων. Σκεφτείτε ένα μήλο που έχει τεμαχιστεί και έχει απομείνει πολύ ώρα εκτεθειμένο στον αέρα. Η αφθονία του οξυγόνου προκαλεί το μαύρισμα του μήλου. Τα αρώματα και οι γεύσεις του εξαφανίζονται. Το ίδιο ισχύει και για την οξείδωση στο κρασί.
Διαβάστε σχετικά: Ρωτήστε έναν σομελιέ: Τι είναι τα οξειδωμένα κρασιά;
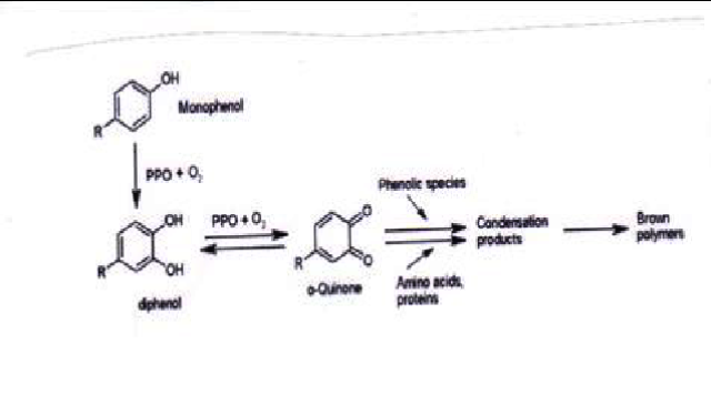
Η οξείδωση στο γλεύκος είναι ενζυμικό φαινόμενο. Τα οξειδωτικά ένζυμα είναι η πολυφαινυλοξειδάση και η λακκάση. Η πολυφαινυλοξειδάση είναι φυσικά υπάρχον ένζυμο, ενώ η λακάση παράγεται από τον μύκητα Botrytis cinerea (φαιά σήψη). Υποστρώματα είναι φαινολικά συστατικά, ενώ επίσης το οξυγόνο είναι απαραίτητο. Με τη δράση κρεσολάσης μονοφαινόλες μετατρέπονται σε διφαινόλες, και με τη δράση κατεχολάσης οι διφαινόλες σε κινόνες. Η γλουταθειόνη αναστέλει την οξείδωση με σχηματισμό trans-γλουταθειονυλκαφταρικού οξέος. Όμως, στη συνέχεια η οξείδωση συνεχίζεται. Ο θειώδης ανυδρίτης είναι αναστολέας της οξείδωσης, όπως και το ασκορβικό οξύ.

Αντιδράσεις ενζυμικής καστάνωσης (browning) στο γλεύκος
Η οξείδωση στον οίνο δεν είναι ενζυμικό φαινόμενο. Η οξείδωση στον οίνο λαμβάνει χώρα με ρίζες υδροξυλίου. Στο pH του οίνου ο Fe(II) ανάγει το οξυγόνο προς υπεροξείδιο του υδρογόνου, το οποίο παρουσία Fe(II) μετασχηματίζεται σε ρίζες υδροξυλίου (αντίδραση Fenton) Fe+2 + H2O2 — Fe+3 +OH.+ OH- Ακολούθως, με την οξείδωση των φαινολικών συστατικών από τις ρίζες υδροξυλίου ξεκινάει μια αλληλουχία αντιδράσεων. Οι κινόνες που σχηματίζονται είναι ασταθείς και αντιδρούν περαιτέρω με το σχηματισμό πολυμερών και δημιουργία καστανού χρώματος. Οι ρίζες υδροξυλίου είναι πολύ δραστικές και μη επιλεκτικές, και μπορούν να οξειδώσουν σχεδόν όλα τα συστατικά των οίνων. (Πηγή ecourse.uoi.gr Πανεπιστήμιο Ιωαννίνων)
Πώς μπορώ να ξέρω εάν το κρασί μου είναι οξειδωμένο;
Λοιπόν, αν ο χυμός είναι ελαφρώς καφέ χρώματος, με μηδενικά αρώματα φρούτων και ανιαρό στον ουρανίσκο, ενδεχομένως με νότες ξιδιού, τότε μάλλον έχουμε ένα οξειδωμένο κρασί. Δυστυχώς, η οξείδωση δεν μπορεί να αντιστραφεί και το κρασί είναι για πέταμα. Ωστόσο, υπάρχουν ορισμένες πρακτικές οινοποίησης που ενθαρρύνουν την οξείδωση, όπως οι μέθοδοι που χρησιμοποιούνται για την παραγωγή του Sherry και της Μαδέρα, οι οποίες τους προσδίδουν οξειδωτικές νότες. Συγκρίνετε το οξειδωμένο κρασί σας, με την ίδια φιάλη χωρίς οξείδωση, και δοκιμάστε επίσης ένα μπουκάλι Sherry, για μια πλήρους φάσματος εμπειρία παρουσίας οξυγόνου στο κρασί.

